注册
|
登录
中文
ENGLISH
首页
医学平台
产品中心
培训课程
学术前沿
关于我们
English
注册登录
发送短信
电话咨询
联系我们
HOME
/
纳米抗体北科服务
产品
水凝胶
纳米酶
国基热点
生物探针
询单热点
纳米纤丝
无机生物纳米颗粒
聚集诱导发光微球
mxene 材料
PCR阵列
MBene 二维过渡金属硼化物
金属有机框架化合物 MOF
生物3d打印机系列
基础磁珠系列/免疫标记与捕获磁珠
核酸提取磁珠
蛋白纯化磁珠
无机发光材料
功能性发光材料
生物荧光探针
荧光标记物
常规荧光染料
生物成像染料
预活化填料
重组蛋白/多肽
亲和填料及预装柱
离子交换填料及预装柱
无机量子点
重磅推出-新品上线!
柔性生物电极
磁性纳米材料
金纳米材料
TMDs分散液
MnO2基生物纳米材料
微球
PEG衍生物
磷脂
碳材料
银纳米材料
诊断试剂开发服务
介孔材料
铋烯 硼烯 碲烯 磷烯 石墨炔
长效缓释载体
智能纳米载体
脂质原材料
无机材料
高分子材料
影像对比剂
嵌段共聚物
HOF氢键有机框架材料/COF共价有机框架材料
培训课程
搜索
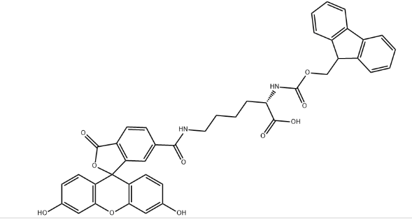
FMoc-Lys(6` -FAM) -OH,CAS号:1266666-04-9
【编号】
20211226-3397
【CAS号】
CAS
【货号】20211226-3397-5
【规格】
6846
5g
1g
500mg
250mg
100mg
5分钟轻松选对产品方案
17715390137 / 18101240246 / 18914047343
价格:
登录查看
数 量:
产品介绍
说明书
技术问答
技术视频
应用案例
苏州北科纳米科技有限公司生产销售“FMoc-Lys(6` -FAM) -OH,CAS号:1266666-04-9”“FMOC-Lys(5/6-FAM),N6-[(3,6-二羟基-3-氧代螺[异苯并呋喃-1(3H),9-[9H]吨]-6-基)羰基]-N2-[芴甲氧羰基]-L-赖氨酸,分子式:C42H34N2O10,分子量:726.73”,该产品仅用于科研,如果需要请联系我们
参数信息
外观状态:
固体或粉末
质量指标:
95%+
溶解条件:
有机溶剂/水
CAS号:
N/A
分子量:
N/A
储存条件:
-20℃避光保存
储存时间:
1年
运输条件:
室温2周
生产厂家:
苏州北科纳米科技有限公司
留言咨询
姓名:
*
手机:
*
邮箱:
*
内容:
生物纳米材料前沿
纳米医学Frontier
温馨提示:
苏州北科纳米供应产品仅用于科研,不能用于人体,不同批次产品规格性能有差异。网站部分文献案例图片源自互联网,图片仅供参考,请以实物为主,如有侵权请联系我们立即删除。
提示说明:
纳米材料工艺和制备可能会有改变 所有纳米材料均支持按需定制 下单前联系客服确认产品详细信息。
暂无视频
暂无应用案例
上一款: 没有了...
下一款:
Tide Fluor? 8WS azide;
医学平台
抗体-药物偶联开发服务
分子影像载体开发服务
免疫因子纳米载体服务
产品中心
水凝胶
纳米酶
国基热点
帮助中心
支持培训
关于我们
技术手册
新闻资讯
案例分享
项目流程
联系我们
17715390137
18101240246
18915694570
苏州北科纳米科技有限公司
苏公网安备32059002005573
苏ICP备2020067807号-1
首页
发送短信
电话咨询
联系我们